MT200超聲波測厚儀
|
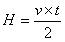
l 帶有RS232接口,可以方便、快捷地與PC機進行數據交換和參數設定??梢赃B接到微型打印機(廠家指定型號)打印測量報告。 l 可選擇配備微機軟件,具有傳輸測量結果、測值存儲管理、測值統計分析、打印測值報告等豐富功能; l 密封的金屬外殼,小巧、便攜、可靠性高,適用于惡劣的操作環境,抗振動、沖擊和電磁干擾; 4 工作原理 本超聲波測厚儀對厚度的測量,是由探頭產生超聲波脈沖透過耦合劑到達被測體,一部分超聲信號被物體底面反射,探頭接收由被測體底面反射的回波,精確地計算超聲波的往返時間,并按下式計算厚度值,再將計算結果顯示出來。
式中: H-測量厚度; v-材料聲速; t-超聲波在試件中往返一次的傳播時間。
5 儀器配置 表1 儀器配置
|
